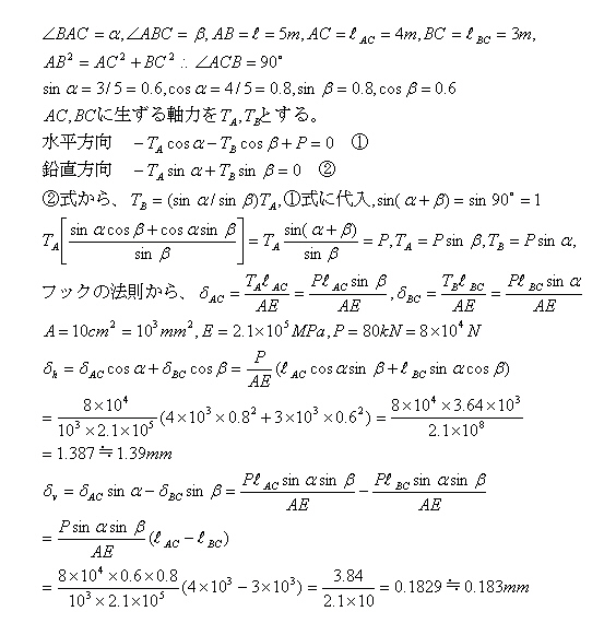
問題204
図に示すように、長さAC=4mの鋼棒と長さBC=3mの鋼棒を端Cでピン結合し、他端A,BをAB=5mの間隔に保って剛性天井にピンで結合する。結合点Cに水平荷重P=80kNが作用するとき、点Cに生じる水平および鉛直変位δh、δvを求めよ。ただし両棒の断面積をA=10cm
2
、縦弾性係数E=2.1x10
5
MPaとする。
【解】